
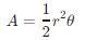
扇形面積公式是用來計算扇形面積的一個數學公式。扇形是由圓的一部分和兩條半徑組成的圖形。扇形的面積公式如下:

這里的各個變量代表:
- A 是扇形的面積
- r 是圓的半徑
- θ 是扇形的中心角,以弧度為單位
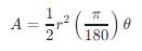
如果中心角 θ 以度數給出,那么公式需要稍作調整,因為 1 弧度等于
度。調整后的公式為:

其中 θ 是以度數表示的中心角。
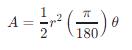
所以,如果中心角是以度數表示的,那么扇形面積的公式可以寫作:

這個公式意味著你可以通過知道圓的半徑和扇形的中心角度數來計算扇形的面積。
扇形面積公式是用來計算扇形面積的一個數學公式。扇形是由圓的一部分和兩條半徑組成的圖形。扇形的面積公式如下:這里的各個變量代表:- A 是扇形的面積- r 是圓的半徑- &the

扇形面積公式是用來計算扇形面積的一個數學公式。扇形是由圓的一部分和兩條半徑組成的圖形。扇形的面積公式如下:

這里的各個變量代表:
- A 是扇形的面積
- r 是圓的半徑
- θ 是扇形的中心角,以弧度為單位
如果中心角 θ 以度數給出,那么公式需要稍作調整,因為 1 弧度等于
度。調整后的公式為:

其中 θ 是以度數表示的中心角。
所以,如果中心角是以度數表示的,那么扇形面積的公式可以寫作:

這個公式意味著你可以通過知道圓的半徑和扇形的中心角度數來計算扇形的面積。